Kofaktor Matriks Ordo 4x4. Menentukan determinan matriks persegi 4x4 dapat dilakukan dengan menggunakan metode ekspansi kofaktor. Matriks Ordo 4x4 Senin 03 November 2014. Untuk memudahkan selanjutnya minor kita beri simbol dengan huruf m dan minor untuk setiap elemen matrik akan kita beri simbol dengan mij dimana i adalah letak baris dan j adalah letak kolom dari setiap elemen matrik. Mengenai apa itu metode ekspansi kofaktor silahkan baca pada artikel Menentukan Determinan Matriks Dengan Ekspansi Kofaktor.
Contoh Soal Determinan Matriks Ordo 4x4 Metode Kofaktor
Contoh Soal Determinan Matriks Ordo 4x4 Metode Kofaktor From bakingupforlosttime.blogspot.com
Mewarnai ra kartini Midtrans android Mewarnai gambar princes Mewarnai kaligrafi
Materi ini terbagi menjadi beberapa jenis. Tiga cara menghitung determinan matriks 4x4 yaitu. Tapi saya yakin anda malas untuk membaca beberapa artikel sekaligus. Oleh karena itu dalam materi matematika disini fokus kita pada matriks ordo 4x4. Beberapa materinya sebagian sudah terukir di determinan matriks 3x3 metode OBE. Penguasaan materi minor mutlak diperlukan karena kita hanya bisa mengerti tentang kofaktor dan adjoin jika kita sudah mengerti tentang.
Matriks tersusun atas Row Column and Numerial yang disatukan dalam sebuah simbol matriks – contoh pengolahan matriks ordo 4x4.
Pertama bentuk artikel yang sedang anda baca. 18 114 ¼ º ª 3 1 1 4 4 2 1 3 1 1 3 2 1 1 1 1 A Det A a 11C 11 a 12C 12 a 13C 13 a 14C 14 3 1 4 2 1 3 1 3 2 11 C 0 10 2 0 7 7 1 3 2 10 2 7 7 14 70 56 3 1. Minor M ij adalah determinan matriks A dihapus baris ke i kolom ke j. Sebagai contoh jika Anda menggunakan metode ini untuk matriks ordo 4x4 coretan Anda akan menyisakan matriks ordo 3x3 yang determinannya dapat ditentukan dengan mengikuti langkah di atas. Metode ini dapat digunakan untuk seluruh ukuran matriks kuadrat. Tiga cara menghitung determinan matriks 4x4 yaitu.
Contoh Soal Determinan Matriks Ordo 4x4 Metode Kofaktor Terbaru 2019
Source: formatsurat.info
Dan ketiga anda bisa simak penjelasan materi ini dalam video Determinan Matriks 4x4 Metode Sarrus. Pada artikel terdahulu kita sudah membahas tentang mencari minor suatu matriks. 18 114 ¼ º ª 3 1 1 4 4 2 1 3 1 1 3 2 1 1 1 1 A Det A a 11C 11 a 12C 12 a 13C 13 a 14C 14 3 1 4 2 1 3 1 3 2 11 C 0 10 2 0 7 7 1 3 2 10 2 7 7 14 70 56 3 1. Det A 156 1. Menghitung Determinan Matriks Ordo 4x4.
Contoh Soal Determinan Matriks Ordo 4x4 Metode Kofaktor
Source: bakingupforlosttime.blogspot.com
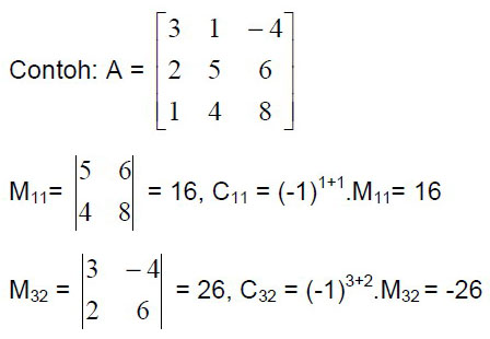
Materi ini terbagi menjadi beberapa jenis. Mencari Minor Cofaktor Adjoin Determinan dan Invers pada matriks ordo 4 x 4. K ij -1 ij M ij Cara gampang menentukan -1 akan menyebabkan M ij berubah tanda atau tidak adalah lihat pangkat ij kalau pangkat tersebut hasilnya ganjil maka -1 tetap -1 tetapi kalau pangkat genap maka -1 akan menjadi 1Hal ini karena -1 x -1 maka hasilnya 1. Setelah kita memahami cara mencari determinan dan transpose sebuah matriks maka selanjutnya kita akan mencari nilai minor kofaktor matrik kofaktor dan adjoin dari sebuah matrik. 3x3 4x4 dan matriks dengan orde lainnya.
Contoh Soal Determinan Matriks Ordo 4x4 Metode Kofaktor
Source: bakingupforlosttime.blogspot.com
Mencari Minor Cofaktor Adjoin Determinan dan Invers pada matriks ordo 4 x 4. Metode ini dapat digunakan untuk seluruh ukuran matriks kuadrat. Matriks Ordo 4x4 Senin 03 November 2014. Posting pada Rumus Matematika SMA Ditag conth soal determinan matriks ordo 5x5 contoh soal determinan matriks ordo 3x3 contoh soal matriks ordo 4x4 determinan matriks ordo 3x3 metode kofaktor determinan matriks ordo3x3 metode sarrus kofaktor matrik 2x2 detrminan matriks 4x4 metode sarrus detrminan matriks 5x5 Navigasi pos. Penguasaan materi minor mutlak diperlukan karena kita hanya bisa mengerti tentang kofaktor dan adjoin jika kita sudah mengerti tentang.
Minor Kofaktor Matrik Kofaktor Dan Adjoin Matrik Harianja Uniks
Source: uniksharianja.com
Beberapa materinya sebagian sudah terukir di determinan matriks 3x3 metode OBE. Pertama bentuk artikel yang sedang anda baca. Contoh soal matriks invers dan pembahasan. Penguasaan materi minor mutlak diperlukan karena kita hanya bisa mengerti tentang kofaktor dan adjoin jika kita sudah mengerti tentang. Menghitung Determinan Matriks Ordo 4x4.
Contoh Soal Determinan Matriks Ordo 4x4 Metode Kofaktor
Source: bakingupforlosttime.blogspot.com
Setelah kita memahami cara mencari determinan dan transpose sebuah matriks maka selanjutnya kita akan mencari nilai minor kofaktor matrik kofaktor dan adjoin dari sebuah matrik. Menentukan invers matriks ordo 33. Menentukan determinan matriks 4x4 tidaklah susah hanya pada pengerjaanya mungkin memerlukan waktu yang lebih lama. Kofaktor C 13 adalah -1 ij M ij. Mengenai apa itu metode ekspansi kofaktor silahkan baca pada artikel Menentukan Determinan Matriks Dengan Ekspansi Kofaktor.
Contoh Soal Determinan Matriks Ordo 4x4 Metode Kofaktor
Source: bakingupforlosttime.blogspot.com
Kedua bentuk PDF yang bisa anda download. Setelah kita memahami cara mencari determinan dan transpose sebuah matriks maka selanjutnya kita akan mencari nilai minor kofaktor matrik kofaktor dan adjoin dari sebuah matrik. Mengenai apa itu metode ekspansi kofaktor silahkan baca pada artikel Menentukan Determinan Matriks Dengan Ekspansi Kofaktor. Setelah kita memahami cara mencari determinan dan transpose sebuah matriks maka selanjutnya kita akan mencari nilai minor kofaktor matrik kofaktor dan adjoin dari sebuah matrik. Oleh karena itu dalam materi matematika disini fokus kita pada matriks ordo 4x4.
Contoh Soal Determinan Matriks Ordo 4x4 Metode Kofaktor
Source: bakingupforlosttime.blogspot.com
Hal ini perlu kita pahami karena nantinya akan kita gunakan untuk mencari nilai invers dari sebuah matrik. Posting pada Rumus Matematika SMA Ditag conth soal determinan matriks ordo 5x5 contoh soal determinan matriks ordo 3x3 contoh soal matriks ordo 4x4 determinan matriks ordo 3x3 metode kofaktor determinan matriks ordo3x3 metode sarrus kofaktor matrik 2x2 detrminan matriks 4x4 metode sarrus detrminan matriks 5x5 Navigasi pos. 3x3 4x4 dan matriks dengan orde lainnya. Materi ini terbagi menjadi beberapa jenis. Untuk memudahkan selanjutnya minor kita beri simbol dengan huruf m dan minor untuk setiap elemen matrik akan kita beri simbol dengan mij dimana i adalah letak baris dan j adalah letak kolom dari setiap elemen matrik.
Contoh Soal Determinan Matriks Ordo 4x4 Metode Kofaktor
Source: bakingupforlosttime.blogspot.com
Posting pada Rumus Matematika SMA Ditag conth soal determinan matriks ordo 5x5 contoh soal determinan matriks ordo 3x3 contoh soal matriks ordo 4x4 determinan matriks ordo 3x3 metode kofaktor determinan matriks ordo3x3 metode sarrus kofaktor matrik 2x2 detrminan matriks 4x4 metode sarrus detrminan matriks 5x5 Navigasi pos. Metode ini dapat digunakan untuk seluruh ukuran matriks kuadrat. Matriks Ordo 4x4 Senin 03 November 2014. Mengenai langkah dan cara menghitung determinan matriks 4x4 telah dijelaskan pada halaman sebelumnya. Cara menyelesaikan Soal Determinan Matriks berordo 4x4 dengan Metode KofaktorJangan lupa like subscribe dan shareFB.
26 Contoh Soal Determinan Matriks 4x4 Kofaktor Kumpulan Contoh Soal
Source: teamhannamy.blogspot.com
Kofaktor C 13 adalah -1 ij M ij. Kofaktor C 13 adalah -1 ij M ij. Oleh karena itu dalam materi matematika disini fokus kita pada matriks ordo 4x4. Nurul Aufa NASihlakan tonton juga v. Cara menyelesaikan Soal Determinan Matriks berordo 4x4 dengan Metode KofaktorJangan lupa like subscribe dan shareFB.
Menghitung Determinan Matriks Ordo 4x4
Source: kontensekolah.com
Mengenai apa itu metode ekspansi kofaktor silahkan baca pada artikel Menentukan Determinan Matriks Dengan Ekspansi Kofaktor. Cara menyelesaikan Soal Determinan Matriks berordo 4x4 dengan Metode KofaktorJangan lupa like subscribe dan shareFB. Posting pada Rumus Matematika SMA Ditag conth soal determinan matriks ordo 5x5 contoh soal determinan matriks ordo 3x3 contoh soal matriks ordo 4x4 determinan matriks ordo 3x3 metode kofaktor determinan matriks ordo3x3 metode sarrus kofaktor matrik 2x2 detrminan matriks 4x4 metode sarrus detrminan matriks 5x5 Navigasi pos. Oleh karena itu dalam materi matematika disini fokus kita pada matriks ordo 4x4. Metode ini dapat digunakan untuk seluruh ukuran matriks kuadrat.
Cara Mencari Determinan Matrix 4 4 Menggunakan Metode Ekspansi Kofaktor Cute766
Source: cute766.info
Menentukan determinan matriks 4x4 tidaklah susah hanya pada pengerjaanya mungkin memerlukan waktu yang lebih lama. Metode OBE 4x4 Metode Sarrus 4x4 Metode Kofaktor 4x4 Metode OBE Pdf yang dibahas kali ini berkaitan dengan eliminasi Gauss sifat-sifat determinan dan matriks segitiga atasbawah. Matriks Ordo 4x4 Senin 03 November 2014. Metode ini dapat digunakan untuk seluruh ukuran matriks kuadrat. Oleh karena itu dalam materi matematika disini fokus kita pada matriks ordo 4x4.
36 Determinan Matriks Berordo 4x4 Dengan Metode Kofaktor Youtube
Source: youtube.com
Contoh soal determinan matriks 4x4 kofaktor. Menghitung determinan matriks 4x4 dengan kofaktor matriks 4x4 berikut. Cara menghitung determinan 4x4 metode Sarrus terdiri dari 4 langkah. Pertama bentuk artikel yang sedang anda baca. K ij -1 ij M ij Cara gampang menentukan -1 akan menyebabkan M ij berubah tanda atau tidak adalah lihat pangkat ij kalau pangkat tersebut hasilnya ganjil maka -1 tetap -1 tetapi kalau pangkat genap maka -1 akan menjadi 1Hal ini karena -1 x -1 maka hasilnya 1.
10 Contoh Soal Matriks Minor Dan Kofaktor Kumpulan Contoh Soal
Source: teamhannamy.blogspot.com
Contoh soal determinan matriks ordo 4x4 metode kofaktor. Tiga cara menghitung determinan matriks 4x4 yaitu. Tapi saya yakin anda malas untuk membaca beberapa artikel sekaligus. Dalam menghitung ordo n dengan n3 terlebih dahulu kita harus memahami tentang apa itu minor dan kofaktor. Mengenai apa itu metode ekspansi kofaktor silahkan baca pada artikel Menentukan Determinan Matriks Dengan Ekspansi Kofaktor.
Contoh Soal Determinan Matriks Ordo 4x4 Metode Kofaktor
Source: bakingupforlosttime.blogspot.com
Cara menyelesaikan Soal Determinan Matriks berordo 4x4 dengan Metode KofaktorJangan lupa like subscribe dan shareFB. K ij -1 ij M ij Cara gampang menentukan -1 akan menyebabkan M ij berubah tanda atau tidak adalah lihat pangkat ij kalau pangkat tersebut hasilnya ganjil maka -1 tetap -1 tetapi kalau pangkat genap maka -1 akan menjadi 1Hal ini karena -1 x -1 maka hasilnya 1. Minor M ij adalah determinan matriks A dihapus baris ke i kolom ke j. Beberapa materinya sebagian sudah terukir di determinan matriks 3x3 metode OBE. Menentukan determinan matriks 4x4 tidaklah susah hanya pada pengerjaanya mungkin memerlukan waktu yang lebih lama.
Contoh Soal Determinan Matriks Ordo 4x4 Metode Kofaktor
Source: bakingupforlosttime.blogspot.com
Namun dipertemuan sebelumnya kami telah membahas mengenai contoh soal fungsi dan pembahasannya. Matriks tersusun atas Row Column and Numerial yang disatukan dalam sebuah simbol matriks – contoh pengolahan matriks ordo 4x4. Untuk memudahkan selanjutnya minor kita beri simbol dengan huruf m dan minor untuk setiap elemen matrik akan kita beri simbol dengan mij dimana i adalah letak baris dan j adalah letak kolom dari setiap elemen matrik. Mengenai langkah dan cara menghitung determinan matriks 4x4 telah dijelaskan pada halaman sebelumnya. Cara menyelesaikan Soal Determinan Matriks berordo 4x4 dengan Metode KofaktorJangan lupa like subscribe dan shareFB.
Contoh Soal Determinan Matriks Ordo 4x4 Metode Kofaktor
Source: bakingupforlosttime.blogspot.com
Nurul Aufa NASihlakan tonton juga v. Cara menyelesaikan Soal Determinan Matriks berordo 4x4 dengan Metode KofaktorJangan lupa like subscribe dan shareFB. Menghitung Determinan Matriks Ordo 4x4. Hal ini perlu kita pahami karena nantinya akan kita gunakan untuk mencari nilai invers dari sebuah matrik. Menghitung Determinan Matriks Ordo 4x4 Minor Kofaktor Matriks Mat Eko Stat Eko Metrik Minor Kofaktor Matrik Kofaktor Dan Adjoin Matrik Modul 4 Matrik Dan Determinan Determinan Lanjutan Ppt Download Menghitung Determinan Matriks Ordo 4x4.
Determinan Es
Source: slideshare.net
Contoh soal determinan matriks 4x4 kofaktor. Mengenai apa itu metode ekspansi kofaktor silahkan baca pada artikel Menentukan Determinan Matriks Dengan Ekspansi Kofaktor. Oleh karena itu dalam materi matematika disini fokus kita pada matriks ordo 4x4. Metode ini dapat digunakan untuk seluruh ukuran matriks kuadrat. Contoh soal determinan matriks 4x4 kofaktor.
Contoh Soal Determinan Matriks Ordo 4x4 Metode Kofaktor
Source: bakingupforlosttime.blogspot.com
Menentukan determinan matriks 4x4 tidaklah susah hanya pada pengerjaanya mungkin memerlukan waktu yang lebih lama. Beberapa materinya sebagian sudah terukir di determinan matriks 3x3 metode OBE. Dalam menghitung ordo n dengan n3 terlebih dahulu kita harus memahami tentang apa itu minor dan kofaktor. 18 114 ¼ º ª 3 1 1 4 4 2 1 3 1 1 3 2 1 1 1 1 A Det A a 11C 11 a 12C 12 a 13C 13 a 14C 14 3 1 4 2 1 3 1 3 2 11 C 0 10 2 0 7 7 1 3 2 10 2 7 7 14 70 56 3 1. Materi ini terbagi menjadi beberapa jenis.
This site is an open community for users to submit their favorite wallpapers on the internet, all images or pictures in this website are for personal wallpaper use only, it is stricly prohibited to use this wallpaper for commercial purposes, if you are the author and find this image is shared without your permission, please kindly raise a DMCA report to Us.
If you find this site helpful, please support us by sharing this posts to your own social media accounts like Facebook, Instagram and so on or you can also bookmark this blog page with the title kofaktor matriks ordo 4x4 by using Ctrl + D for devices a laptop with a Windows operating system or Command + D for laptops with an Apple operating system. If you use a smartphone, you can also use the drawer menu of the browser you are using. Whether it’s a Windows, Mac, iOS or Android operating system, you will still be able to bookmark this website.
